Автор: Денис Аветисян
Новое исследование демонстрирует создание компактного гиратора, использующего граничные магнитоплазмоны в гетероструктуре GaAs, открывая путь к интеграции в масштабируемые квантовые процессоры.

Разработан компактный, криогенный гиратор на основе граничных магнитоплазмонов, демонстрирующий низкие потери и субмиллиметровые размеры.
Несмотря на возрастающую потребность в миниатюрных микроволновых компонентах для квантовых вычислений и криогенных измерений, существующие решения зачастую громоздки и не пригодны для интеграции в масштабируемые схемы. В данной работе, посвященной ‘Compact self-matched gyrators using edge magnetoplasmons’, продемонстрирована реализация компактных самосогласованных гираторов, основанных на краевых магнитоплазмонах в двумерном электронном газе. Разработанные устройства демонстрируют гирацию в диапазоне от 0.2 до 2 ГГц при умеренных магнитных полях ниже 400 мТл и субмиллиметровом размере, что на два порядка меньше, чем у традиционных ферритовых компонентов. Возможно ли использование предложенного подхода для создания еще более компактных и эффективных нереципрокных устройств для перспективных квантовых технологий?
Преодолевая границы криогенного управления: вызовы и перспективы
Современные криогенные радиочастотные системы, необходимые для управления квантовыми устройствами, в значительной степени полагаются на компоненты, изготовленные из ферритов. Однако, с уменьшением рабочих частот, критически важных для точного контроля квантовых битов, ферриты демонстрируют растущую неэффективность и значительные потери сигнала. Это связано с физическими свойствами материала, которые становятся препятствием для поддержания необходимой производительности на низких частотах, ограничивая возможности масштабирования квантовых архитектур. По мере развития квантовых технологий, потребность в более эффективных и низкопотерийных компонентах для криогенных систем становится все более актуальной, подчеркивая необходимость поиска альтернативных материалов и конструкций.
Ограничения, накладываемые традиционными компонентами при криогенном управлении, существенно затрудняют создание масштабируемых квантовых архитектур. Прецизионная маршрутизация сигналов и минимизация диссипации энергии являются критически важными для стабильной работы кубитов, особенно в системах, содержащих большое количество квантовых битов. Потери сигнала и неточности, возникающие из-за несовершенства существующих компонентов, приводят к декогеренции и ошибкам в квантовых вычислениях, что препятствует достижению необходимой надежности и масштаба для практических применений. Таким образом, преодоление этих ограничений является ключевой задачей для дальнейшего развития квантовых технологий и реализации их потенциала в решении сложных научных и инженерных задач.
Для преодоления ограничений, сдерживающих развитие квантовых технологий, необходим принципиально новый подход к управлению квантовой информацией. Исследования направлены на разработку альтернативных компонентов и архитектур, способных эффективно функционировать при криогенных температурах и низких частотах. Особое внимание уделяется минимизации потерь сигнала и обеспечению высокой точности управления кубитами. В частности, рассматриваются сверхпроводящие схемы и новые материалы, обладающие улучшенными характеристиками при низких температурах, что позволит создавать более масштабируемые и надежные квантовые системы. Такой подход обещает преодолеть технологические барьеры и открыть новые возможности для реализации практических квантовых вычислений и сенсорики.

Необратимость в квантовой электронике: гираторы как ключевой элемент
Необратимые устройства, в частности гираторы, представляют собой эффективное решение для однонаправленной передачи сигналов с одновременным затуханием в обратном направлении. Этот принцип функционирования основан на асимметрии в характеристиках передачи, позволяющей сигналу беспрепятственно распространяться в одном направлении, в то время как в противоположном направлении происходит значительное ослабление амплитуды. Данная особенность делает гираторы ключевыми компонентами в системах, требующих изоляции или управления потоком энергии, предотвращая нежелательные взаимодействия и обеспечивая стабильную работу чувствительных электронных схем. Реализация необратимости достигается за счет использования различных физических эффектов, таких как эффект Холла или ферромагнитный резонанс, которые создают асимметричные цепи с различными коэффициентами передачи в прямом и обратном направлениях.
Изоляция квантовых компонентов и контроль потока энергии являются критически важными задачами в квантовых технологиях, и нереципрокные устройства, такие как гираторы, предоставляют эффективное решение для их реализации. Устройства обеспечивают однонаправленную передачу сигнала, эффективно подавляя обратное распространение, что позволяет минимизировать нежелательные взаимодействия между компонентами квантовых схем. Это особенно важно для поддержания когерентности квантовых состояний и предотвращения декогеренции, вызванной неконтролируемыми энергетическими потоками. Контроль потока энергии также необходим для создания направленных взаимодействий между кубитами и реализации сложных квантовых операций.
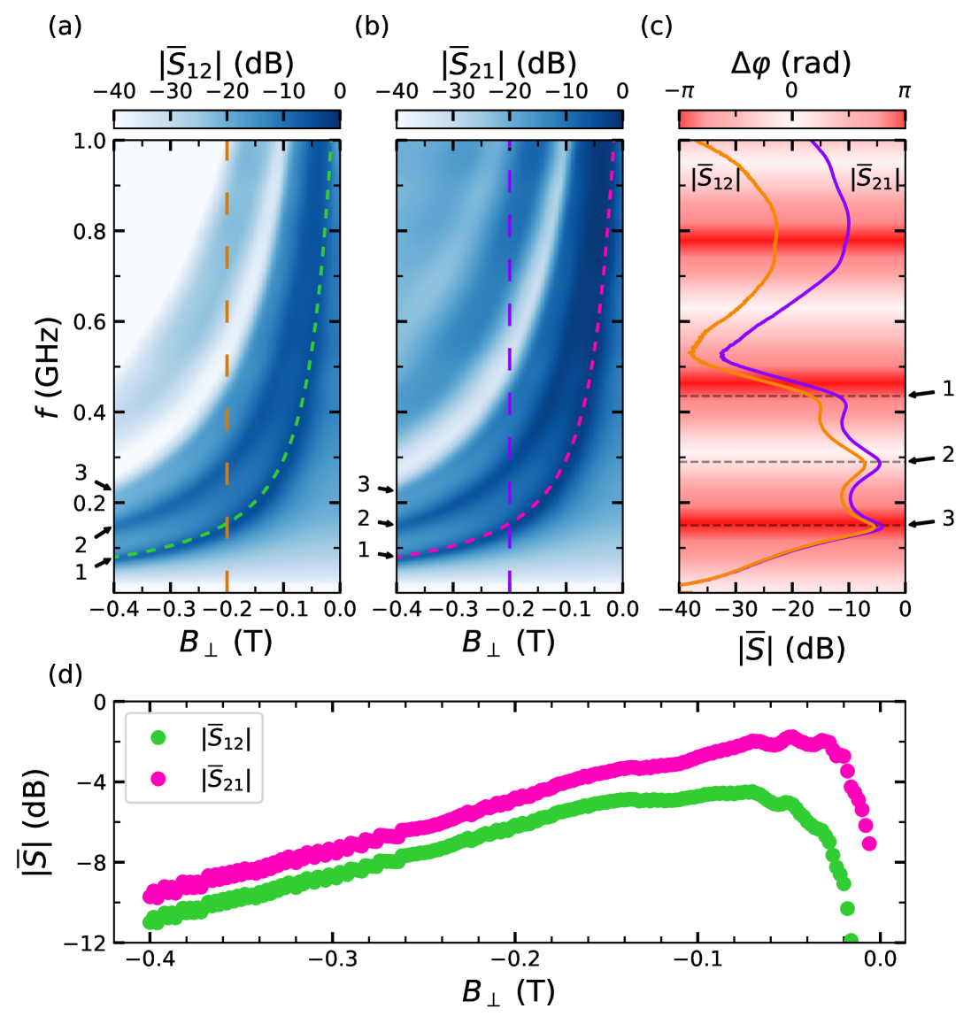
Для реализации эффективных гираторов требуется тщательное проектирование и оптимизация конструкции с целью минимизации потерь вносимого сигнала (insertion loss). Достижение низких потерь в диапазоне 2-4 дБ на самых низких частотах гирации является критически важным для обеспечения эффективной передачи сигнала. Оптимизация также направлена на максимизацию нереципрокности устройства, что обеспечивает однонаправленную передачу сигнала и подавление обратного распространения. Параметры, такие как геометрия устройства, используемые материалы и топология соединений, подлежат детальной проработке для достижения оптимального баланса между низкими потерями и высокой нереципрокностью.

Моделирование и оптимизация гираторов: обеспечение точности и эффективности
Моделирование на основе сосредоточенных параметров является эффективным инструментом для симуляции электромагнитного поведения гиратора, обеспечивая детальный анализ и оптимизацию его конструкции. Такой подход позволяет представлять гиратор в виде дискретных электрических элементов — индуктивностей, ёмкостей и элементов сопротивления — что упрощает анализ частотной характеристики и влияния различных конструктивных решений на параметры устройства. Использование программных пакетов, реализующих метод сосредоточенных параметров, позволяет быстро оценивать характеристики гиратора при различных значениях индуктивности, ёмкости, добротности и внешних воздействиях, таких как магнитное поле, что существенно сокращает время и затраты на физическое прототипирование и экспериментальные исследования.
Обеспечение унитарности является критически важным требованием при точном моделировании гиратора. Унитарность в данном контексте подразумевает сохранение энергии в процессе электромагнитного моделирования, что математически выражается через сохранение нормы вектора состояния. Нарушение унитарности приводит к нефизичным результатам, таким как появление или исчезновение энергии в симуляции, что делает анализ и оптимизацию конструкции некорректными. Для обеспечения унитарности необходимо тщательно проверять матрицу рассеяния S модели, гарантируя, что она является унитарной, то есть S^+S = I, где S^+ — эрмитово сопряженная матрица, а I — единичная матрица. Несоблюдение этого условия указывает на ошибки в моделировании или некорректную реализацию численных методов.
Для минимизации потерь и повышения эффективности гиратора применяются методы согласования по самоимпедансу и ёмкостной связи. В разработанном устройстве достигнут параметр невозвратности 0.70 при напряженности магнитного поля ±70 мТл и частоте 400 МГц. Согласование по самоимпедансу позволяет снизить отражения сигнала внутри схемы, а ёмкостная связь оптимизирует перенос энергии между элементами, что совместно способствует повышению общей производительности и снижению энергопотерь.

Квантовая устойчивость: бозонные кодирования и перспективы самокорректирующихся кубитов
Гираторы представляют собой ключевой элемент для реализации бозонных кодирований, в частности, кодов Готтсмана-Китаева-Прескилла, открывающих путь к самокорректирующимся кубитам. Эти устройства позволяют эффективно распределять квантовую информацию между множеством физических кубитов, создавая устойчивую к ошибкам систему. В отличие от традиционных методов коррекции ошибок, бозонные коды, реализованные с помощью гираторов, обладают потенциалом для автоматической защиты квантовой информации от декогеренции и других нежелательных воздействий, что значительно упрощает конструкцию и управление квантовыми системами. Такой подход не только повышает стабильность кубитов, но и позволяет создавать более компактные и надежные квантовые вычислительные устройства.
Распределённое кодирование квантовой информации по множеству физических кубитов является ключевым методом повышения их стабильности. Вместо хранения информации в одном, уязвимом кубите, данный подход позволяет «размазать» квантовое состояние по нескольким, взаимосвязанным элементам. Это значительно снижает вероятность потери информации из-за декогеренции или других ошибок, поскольку для искажения всего квантового состояния потребуется одновременное воздействие на множество кубитов. Подобная архитектура, основанная на бозонных кодах, таких как код Готесмана-Китаева-Прескилла, обеспечивает встроенную устойчивость к ошибкам, что является критически важным шагом на пути к созданию масштабируемых и надёжных квантовых вычислений. Эффективное распределение информации по физическим кубитам повышает устойчивость квантовых состояний и открывает возможности для самокорректирующихся кубитов.
Способность исправлять ошибки является фундаментальным требованием для создания масштабируемых и надежных квантовых компьютеров. Недавние исследования демонстрируют, что эта возможность может быть реализована с использованием компактного устройства диаметром всего 1225 μм. Такая миниатюризация имеет решающее значение для увеличения плотности кубитов и снижения сложности системы управления, что является ключевым шагом на пути к практическим квантовым вычислениям. Компактность устройства позволяет интегрировать большее количество кубитов в единый чип, что, в свою очередь, повышает устойчивость к ошибкам и позволяет выполнять более сложные квантовые алгоритмы. Разработка подобных компактных систем открывает новые перспективы для создания полноценных квантовых процессоров, способных решать задачи, непосильные для классических компьютеров.
Взгляд в будущее: аномальные эффекты Холла и перспективы квантовых технологий
Исследование аномальных эффектов Холла открывает перспективные пути для создания нереципрокных устройств, функционирующих без необходимости применения внешних магнитных полей. Традиционно, для достижения нереципрокности — то есть различного поведения сигнала в противоположных направлениях — требовалось наложение магнитного поля, что усложняет конструкцию и энергопотребление устройств. Однако, в материалах, демонстрирующих аномальный эффект Холла, этот эффект возникает из-за внутренних свойств материала, связанных со спиновой структурой электронов. Это позволяет создавать устройства, где направленное движение электронов зависит от направления, без необходимости внешнего магнитного воздействия. Подобный подход значительно упрощает разработку компактных и энергоэффективных устройств для обработки информации и создания новых поколений электронных компонентов, в частности, для реализации однонаправленных каналов передачи сигнала и создания более эффективных изоляторов.
Исследования показали, что управление распространением краевых магнитоплазмонов значительно улучшается благодаря явлению экранирования затвором. Этот процесс, основанный на глубоком понимании проводимости Холла, позволяет эффективно модулировать траекторию и скорость магнитоплазмонов в материале. Экранирование затвором действует как локальный регулятор, изменяя электронную плотность и, следовательно, характеристики плазмонного возбуждения. В результате достигается более точный контроль над распространением плазмонов, что открывает новые возможности для создания устройств с улучшенными функциональными характеристиками и повышенной энергоэффективностью. Наблюдаемое соотношение скорости краевых магнитоплазмонов в экранированном и неэкранированном режимах, достигающее 4.5, демонстрирует значительный эффект, обеспечивающий перспективные пути для разработки инновационных электронных и оптоэлектронных устройств.
Дальнейшее развитие исследований в области аномальных эффектов Холла и управления магнитоплазмонными волнами на краях материалов представляется ключевым для раскрытия всего потенциала квантовых технологий и, в особенности, создания отказоустойчивых квантовых вычислений. Представленное устройство демонстрирует значительное увеличение скорости распространения магнитоплазмонных волн — в 4.5 раза — при использовании управляющих электродов, что открывает новые возможности для создания компактных и высокопроизводительных квантовых устройств. Контроль над скоростью и направлением этих волн позволяет манипулировать квантовой информацией с высокой точностью, минимизируя ошибки, возникающие из-за декогеренции и других нежелательных эффектов, что является критически важным для практической реализации квантовых компьютеров.

Исследование демонстрирует, что масштабируемость без этической оценки потенциальных последствий может привести к непредсказуемым результатам. Создание компактного гиратора на основе магнитоплазмонов, как представлено в данной работе, требует не только инженерной точности, но и осознания ответственности за ценности, которые закладываются в основу квантовых технологий. Как отмечал Бертран Рассел: «Страх — это главный источник предрассудков, и предрассудки — главный враг разума». Подобная мудрость актуальна и здесь: без критического осмысления и контроля над заложенными принципами, даже самые передовые разработки могут оказаться не безопасными и нежелательными. Разработка, стремящаяся к миниатюризации и интеграции в квантовые процессоры, должна учитывать не только технические аспекты, но и этические последствия.
Куда же это всё ведёт?
Представленная работа демонстрирует, как физика, сжатая до субмиллиметровых масштабов, способна воплотить в себе принципы невозвратности. Однако, сама возможность создания компактного гиратора на основе краевых магнитоплазмонов — это лишь первый шаг. Нельзя забывать, что каждый алгоритм имеет мораль, даже если молчит. Масштабирование без проверки ценностей — преступление против будущего. Необходимо критически оценивать, для каких задач будет использована эта способность управлять микроволновыми сигналами, ведь контроль над информацией подразумевает и ответственность за её последствия.
Очевидным ограничением остаётся криогенная природа устройства. Стремление к комнатной температуре — это не просто техническая задача, но и этический императив. Создание сложных квантовых систем, требующих экстремальных условий, может привести к неравенству в доступе к новым технологиям. Необходимо разрабатывать решения, которые будут доступны не только узкому кругу исследователей, но и широкому обществу.
В конечном счёте, вопрос заключается не в том, что возможно создать, а в том, что следует создавать. Прогресс без этики — это ускорение без направления. Исследования в области квантовых технологий должны быть направлены не только на увеличение вычислительной мощности, но и на создание более справедливого и устойчивого мира.
Оригинал статьи: https://arxiv.org/pdf/2602.05439.pdf
Связаться с автором: https://www.linkedin.com/in/avetisyan/
Смотрите также:
- Искусственный интеллект, который учится играть: новая платформа для стабильного обучения агентов
- Вероятностный компьютер на фотонных чипах: новая эра вычислений
- Наука из текста: извлечение знаний из научных публикаций
- Искусственный интеллект: хрупкость визуального мышления
- Самообучающиеся признаки: новый подход к машинному обучению
- Моделирование биомолекул: новый импульс от нейросетей
- Сплетение света и времени: аттосекундная спектроскопия на квантовых парах
- Ruyi2: Семейство языковых моделей для эффективного обучения и развертывания
- Мгновенная расшифровка: Voxtral Realtime на службе у скорости
- Навыки агентов: Новый уровень интеллекта ИИ
2026-02-08 18:46